45+ Contoh Soal Compressible Fluid

Fluida ini banyak dijumpai pada gas. Mekanika Fluida 1 Fluida Ppt Download
Mekanika Fluida 1 Fluida Ppt Download from slideplayer.info

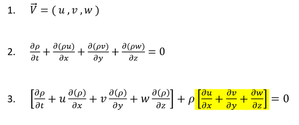
45+ Contoh Soal Compressible Fluid. An ipad pro w/keyboard & airpods. Fluida ini banyak dijumpai pada gas. Enter in 3️⃣ ways (choose any or all for more chances to win): Fluida compressible adalah fluida yang mengalami perubahan volum (v) dengan adanya penekanan (p), atau dapat dikatakan sebagai fluida yang berubah sifatnya jika ditekan, atau densitas berubah dengan adanya penekanan. 1️⃣ like this post, tag 2 friends & follow @uofuartspass to be entered to win! 2️⃣ watch our arts pass 101 video on … Besaran yang digunakan untuk menyatakan sifat fluida yaitu :

0 Response to "45+ Contoh Soal Compressible Fluid"

Posting Komentar

Iklan Atas Artikel

Iklan Tengah Artikel 1

Iklan Tengah Artikel 2

Iklan Bawah Artikel